THERYA, agosto, 2013 Vol.4(2):361-376 DOI: 10.12933/therya-13-115 ISSN 2007-3364
Bat diversity in the lower basin of Río Verde, Oaxaca
Diversidad de murciélagos de la cuenca baja del Río Verde, Oaxaca
Alejandra Buenrostro-Silva1, Miguel Antonio-Gutiérrez2 y Jesús García-Grajales3*
1 Instituto de Industrias, Universidad del Mar campus Puerto Escondido. Km. 1.5 carretera Sola de Vega - Puerto Escondido, San Pedro Mixtepec, Oaxaca, México 71980. E-mail: sba_1575@yahoo.com.mx (ABS)
2 Licenciatura en Biología, Universidad del Mar campus Puerto Escondido. Km. 1.5 carretera Sola de Vega - Puerto Escondido, San Pedro Mixtepec, Oaxaca, México 71980. E-mail: mijel_17@hotmail.com (MAG)
3* Instituto de Recursos, Universidad del Mar campus Puerto Escondido. Km. 1.5 carretera Sola de Vega - Puerto Escondido, San Pedro Mixtepec, Oaxaca, México 71980. E-mail: archosaurio@yahoo.com. mx (JGG)
* Corresponding author.
The present work provides information about bats diversity in the lower basin of Rio Verde, in Oaxaca State, Mexico. The sampling was performed from August 2009 to July 2010 in four sites of the study area. We caught 810 individuals, from 17 species arranged in 13 genera and 4 families, with an important representation of the family Phyllostomidae. The fitting of asymptotic cumulative species model showed that in one sampling site asymptote is reached while in the restant sampling sites there are still some species that remain to be recorded. The rank-abundance curves show the genus Artibeus members as the most abundant and dominant in the sampling sites except El Corral. We consider important the need of generate more studies on structure, population dynamics and community ecology to understand clearly the importance of this group in the region.
Key words: abundance, bats, diversity, lower basin, Phyllostomidae.
Introducción
La riqueza de mamíferos del estado de Oaxaca consta actualmente de 194 especies (Alfaro et al. 2005), de las cuales 94 (48.9%) pertenecen al grupo de los murciélagos (García-Grajales y Buenrostro-Silva 2012). Este grupo constituye uno de los grupos más importantes e indispensables en los ecosistemas tropicales (Arita 1993; Calderón y Briones-Salas 1998; Sánchez-Cordero 2001) debido a su variedad de gremios tróficos, diversidad, abundancia y alta movilidad, convirtiéndose así en dispersores de especies vegetales (Galindo-González 1998) y promoviendo la restauración de áreas perturbadas, sucesión secundaria y restablecimiento de especies de bosque primarios (Willing y McGinley 1999). Son igualmente, controladores de plagas y pequeños roedores, así como excelentes polinizadores (Horvath 2010). No obstante, a pesar de la alta riqueza de especies y a su importancia ecológica, aún sigue existiendo carencia de información respecto a su distribución y diversidad en zonas muy amplias del estado (García-García et al. 2006; García-Grajales y Buenrostro-Silva 2012). Respecto a la planicie costera, existen pocos estudios que documenten la distribución y diversidad de los murciélagos de la región, ya que la mayoría de los estudios en la zona se han centrado en inventariar la riqueza de especies (Lira-Torres et al. 2005, 2008; Buenrostro-Silva et al. 2012).
En las últimas dos décadas las zonas del estado de Oaxaca que más se han estudiado, en cuanto a murciélagos, son la Sierra Madre Oriental (Briones-Salas et al. 2005), el Istmo de Tehuantepec (Peterson et al. 2004; García-García et al. 2006; Barragán et al. 2010) y la Sierra Atravesada (García-Grajales y Buenrostro-Silva 2012), mientras que en las tierras bajas y costeras como la cuenca baja del Río Verde son escasos a pesar de formar parte de una región terrestre prioritaria (RTP 128, CONABIO 2008) y contener a una de las primeras áreas naturales protegidas de México, el Parque Nacional Lagunas de Chacahua (Buenrostro-Silva et al. 2012). Por tanto, el objetivo de este estudio fue determinar la diversidad de murciélagos en la cuenca baja del Río Verde, Oaxaca y contribuir con información de esta zona al conocimiento de los murciélagos del estado.
Material y Métodos
Área de estudio. El estudio se realizó en cuatro localidades de la cuenca baja del Río Verde dentro de los municipios de Santiago Jamiltepec y Villa de Tututepec de Melchor Ocampo, ubicados al sur de Oaxaca en la planicie costera central (Fig. 1). Esta región se ubica dentro de la cuenca hidrológica RH-21 de la región terrestre prioritaria 128 (Bajo Río Verde – Chacahua) y la región hidrológica prioritaria 31 (Hernández-Santos 2009). La vegetación dominante corresponde a selva baja caducifolia, selva mediana subcaducifolia y subperennifolia, manglares y vegetación de zonas inundables (Torres-Colín 2004). El clima de la región de acuerdo a la clasificación de Köppen modificada por García (1988), es cálido subhúmedo con una temperatura media anual mayor a 28 °C, temperatura media máxima de 37 °C y mínima de 23.2 °C; el mes más frío supera los 18 °C con lluvias concentradas en el verano y principios del otoño, generalmente de julio a octubre, isoterma con una oscilación menor a 5 °C (Aw1 (w) (i)). La precipitación anual es de aproximadamente 1,000 mm (Marini 1999; Hernández-Santos 2009).
La cuenca baja del Río Verde se caracteriza por presentar lagunas costeras en fase inundable, con lomeríos de pendientes suaves y cerros no muy pronunciados. En esta región se localiza el Parque Nacional Lagunas de Chacahua (PNLCh), el cual está conformado por tres lagunas costeras principales (Chacahua, Pastoría y Las Salinas) y varias lagunas accesorias y pequeños canales que son alimentados por ríos temporales y el Río Verde (Hernández-Santos 2009).
Las localidades El Azufre (16.0038° N, -97.3847° W, altitud 20 m), El Corral (15°5826° N, -97.3847° W, altitud 18 m) y Cerro Hermoso (15.5826°N, -97.3214° W, altitud 9 m), seleccionadas en el interior del polígono del Parque Nacional Lagunas de Chacahua. Las tres localidades presentan condiciones muy similares de vegetación, con la presencia de selva baja caducifolia en las partes altas y predominancia de manglar en las orillas de los cuerpos de agua. La selva baja caducifolia, se caracteriza por la baja altura de las especies arbóreas (5 a 10 m de altura) y porque la mayoría de estas especies pierden sus hojas por un periodo de 5 a 7 meses del año, provocando un contraste fisionómico enorme entre la época de seca y de lluvia (Lott et al. 1987). La distancia que existe entre estas tres localidades es de 12 km aproximadamente y están separadas por cuerpos de agua. La Tuza de Monroy (16.0333° N, -97.5138° W, altitud 17 m) es la localidad seleccionada más externa y foránea al polígono del Parque, a una distancia aproximada de 12 km en línea recta de la localidad de El Azufre. Esta área presenta grandes áreas de selva baja y mediana caducifolia en buen estado de conservación. Además, en estas localidades los asentamientos humanos son considerables, existen 400 habitantes en Cerro Hermoso, alrededor de 700 en El Azufre, 80 en El Corral y 300 en La Tuza de Monroy. El Corral es la localidad más aislada y considerada la zona núcleo del PNLCh. En todas las localidades figura la pesca y la extracción de madera como las principales actividades humanas.
Muestreo. Se realizaron doce muestreos sistemáticos mensuales en cuatro sitios seleccionados (La Tuza, El Azufre, El Corral y Cerro Hermoso) que corresponden a la cuenca baja del Río Verde. En cada muestreo se evitó en lo posible las noches de luna llena que pudieran afectar la captura de murciélagos por el fenómeno conocido como fobia lunar (Santos-Moreno et al. 2010a) y tuvieron una duración de cuatro noches consecutivas por localidad. La captura de los ejemplares se realizó con cuatro redes de niebla de 12 x 2.5 m, a una altura de 3 m sobre el nivel del suelo, y permanecieron abiertas desde la puesta del sol y por las siguientes cinco horas. A cada individuo capturado se le colocó en el cuello un collar de plástico con un código de coloración predefinido (Amin y Medellín 1993) con el fin de no contabilizar de manera duplicada al ejemplar en el caso de recapturas posteriores.
Los ejemplares capturados fueron identificados hasta el nivel de especie con la ayuda de las guías de campo de Medellín et al. (1997, 2008) y Reid (1997), mientras que el arreglo taxonómico se basó en Ramírez-Pulido et al. (2005) y se consideró la propuesta de Simmons (2005) respecto al cambio de Artibeus intermedius. Algunos ejemplares fueron sacrificados para confirmar su determinación taxonómica en nuestra área de trabajo e inmediatamente se transfirieron a una solución de etanol al 70% para su preservación.
Se calculó el esfuerzo de muestreo por cada sitio, multiplicando el largo por el ancho de las redes de niebla, por el número de horas abiertas, el número de noches y número de redes empleadas. El resultado se expresó en m2 red/hora con base en el método propuesto por Medellín (1993) y modificado por López et al. (2009). Se elaboraron curvas de acumulación de especies por cada sitio, utilizando los estimadores no paramétricos ACE y Chao1, debido a que no asumen el tipo de distribución del conjunto de datos y no los ajustan a un modelo determinado (Palmer 1990), pero sí a la homogeneidad entre los hábitats, por lo que se consideran apropiados para los trabajos con murciélagos (López-Gómez y Williams-Linera 2006). Las curvas de acumulación se elaboraron utilizando el paquete estadístico EstimateS versión 8.2 (Colwell 2009). Se utilizó el modelo de Clench para evaluar la calidad del muestreo, mediante la relación entre el esfuerzo de muestreo y el número de especies encontradas (Colwell y Coddington 1994; Jiménez-Valverde y Hortal 2003).
La diversidad de los murciélagos (diversidad α) fue estimada con base en la riqueza de especies por cada sitio de muestreo a través del índice de Margalef (DMg; Moreno 2001), y el índice de Shannon (H´) para cada sitio de muestreo en la estación seca y húmeda mediante el paquete estadístico Primer v.6 (Clarke y Gorley 2001). Las diferencias en la diversidad alfa entre la estación seca y húmeda entre sitios fue evaluada mediante una prueba de t (Hutcheson 1970). Adicionalmente, se calculó el índice de Pielou (J´) para medir la diversidad observada con relación a la máxima diversidad esperada (Moreno 2001). La tasa de recambio de especies (diversidad β) se estimó a través del coeficiente de similitud de Jaccard (Ij) y se refirió a la diferencia de la riqueza de especies entre sitios (Moreno 2001). A partir de la matriz de similitud se realizó un análisis de agrupaciones a través de la construcción de un dendrograma mediante la técnica de ligamiento promedio no ponderado (UPGMA, por sus siglas en inglés) utilizando el programa Statistica (Statsoft 1995). Para comparar los patrones de abundancia de especies entre sitios y especies se elaboró una gráfica de rango abundancia o curva de Whitaker (Feinsinger 2001).
Resultados
Se realizó un esfuerzo de muestreo de 26,400 m2 red/hora que corresponden a 220 horas en 44 noches. Para las localidades El Azufre, El Corral y Cerro Hermoso se obtuvo un esfuerzo para cada una de 7,200 m2 red/hora y para La Tuza 4,800 m2 red/hora. Se capturaron un total de 810 individuos representados en 17 especies, 13 géneros y 4 familias (Tabla 1).
Del total de capturas en la zona de estudio, 24.44% (n = 198) se presentó en El Azufre, 21.11% (n = 171) en El Corral, 36.17 % (n = 293) en Cerro Hermoso y 18.27 % (n = 148) en La Tuza. La familia mejor representada fue Phyllostomidae con 14 especies (77.7%) seguida de Emballonuridae con dos especies (11.1%) y por último Vespertilionidae y Mormoopidae con una sola especie cada una. No hubo recapturas de individuos durante nuestro trabajo.
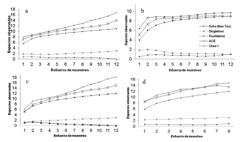
Respecto a la riqueza específica, los sitios con mayor riqueza de acuerdo al índice de Margalef fueron La Tuza (DMg = 2.198) y Cerro Hermoso (DMg = 1.934), ambos con 12 especies. En El Azufre se registraron 11 especies (DMg = 1.887) y en El Corral 9 especies (DMg = 1.552). En cuanto a las curvas de acumulación de especies con los modelos no paramétricos, sólo El Corral alcanzó la asíntota registrando nueve especies, mostrando que ACE y Chao1 tuvieron un ajuste del 97% y 100% de la quiropterofauna, respectivamente. En los sitios restantes, los estimadores predijeron más especies que las observadas (Tabla 2, Fig. 2). El modelo asintótico de Clench demostró que la información obtenida para toda el área se ajustó adecuadamente a la función (a = 3.56, b = 0.18 y R2 = 0.94) con un esfuerzo de 93.7% de los registros (Fig. 3).
La diversidad alfa más alta ocurrió en La Tuza (H´= 2.85) y El Azufre (H´= 2.74), seguido de Cerro Hermoso (H´= 2.60) y El Corral (H´= 2.44). No existieron diferencias significativas entre la diversidad de especies de El Azufre y Cerro Hermoso (t = 1.22, g.l. = 489, P > 0.05), El Azufre y La Tuza (t = 0.96, g.l. = 305, P > 0.05) y El Corral y Cerro Hermoso (t = 1.27, g.l. = 393, P > 0.05). En las localidades de El Corral y El Azufre (t = 2.44, g.l. = 338, P < 0.05), El Corral y La Tuza (t = 3.07, g.l. = 319, P < 0.05) y Cerro Hermoso y La Tuza (t = 2.01, g.l. = 356, P < 0.05) sí existieron diferencias significativas. Respecto a los valores de equitatividad, La Tuza (J´ = 0.79), El Azufre (J´ = 0.79), El Corral (J´ = 0.77) y Cerro Hermoso (J´= 0.72) mostraron una tendencia a presentar ensambles uniformemente distribuidos.
De las 17 especies registradas a lo largo del estudio, seis (33.3%) estuvieron representadas en las cuatro localidades. En tanto que cinco (27.7%) estuvieron registradas sólo en una de ellas, destacando La Tuza con tres especies exclusivas, lo que representa 16.6% del total registrado para los cuatro sitios. A partir del análisis de similitud se observan dos grupos, el primero conformado por El Azufre y El Corral (IJ = 23%) y el segundo por Cerro Hermoso y La Tuza (IJ = 25%; Fig. 4).
Las curvas de intervalo-abundancia muestran a los integrantes del género Artibeus en la parte superior, para La Tuza y El Azufre Artibeus lituratus fue la especie más abundante (log10 pi = -1.14), seguidas de otras especies como Dermanura phaeotis y Desmodus rotundus que fueron moderadamente abundantes (log10 pi = -1.41 y -1.76, respectivamente). En El Corral la especie más abundante fue Balantiopteryx plicata (log10 pi = -1.05) seguida de A. lituratus (log10 pi = -1.73), el resto de las especies están agrupadas en la parte media de la curva y al final se encuentran dos especies raras (Centurio senex y Myotis fortidens). En la curva que representa a Cerro Hermoso se encuentra como especie abundante Artibeus jamaicensis (log10 pi = -0.81) precedida de A. lituratus (log10 pi = -1.67), a su vez, se presentan tres especies raras (Glossophaga morenoi, Sturnira ludovici y M. fortidens; Fig. 5).
Discusión
En el presente estudio la familia Phyllostomidae representó el 77.7% de las especies registradas en las cuatro localidades. Esta alta representación de especies por familia puede deberse a la gran variedad de tipos de alimentación que presentan los filostómidos que se alimentan principalmente de frutos, flores, néctar, polen y ocasionalmente de hojas (Jiménez-Salmerón 2008). Calderón-Patrón et al. (2013) mencionan que los filóstomidos suelen ser más representativos en cuanto a número de especies e individuos en los bosques neotropicales, además de que el agua no es un factor importante en la distribución de esta familia dado que estos obtienen el agua de los frutos que consumen (Jiménez-Salmerón 2008). Respecto al muestreo, el método de captura empleado (altura de las redes de niebla), es adecuado para las especies que habitan y forrajean en el sotobosque, pero es ineficiente para las especies insectívoras que vuelan en el dosel o arriba del dosel como los molósidos cuyo comportamiento de vuelo es de gran altura (Kalko 1997). Asimismo, existen especies que son consideradas raras por ser poco abundantes en los ambientes, como es el caso de Centurio senex (Santos-Moreno et al. 2010b) registrado en el presente estudio pero con pocos individuos (7) en total.
La baja representatividad obtenida por los estimadores no paramétricos ACE y Chao 1 en todas las localidades (excepto El Corral), puede ser atribuida a la sensibilidad que tienen estos dos estimadores respecto a la agregación. Específicamente en lo que refiere a la distribución espacial de los individuos de cada especie que influye de forma importante en la estimación de la riqueza (Palmer y White 1994; Chazdon et al. 1998), ya que al aumentar la agregación en términos de la distribución espacial de los individuos aumenta la probabilidad de capturar a más especies (Magurran 2004).
La riqueza de murciélagos para la cuenca baja del Río Verde (17 especies) representa el 22.3% de la quiropterofauna registrada para Oaxaca (García-Grajales y Buenrostro-Silva 2012). En el presente trabajo, la riqueza fue mayor a la de otros estudios realizados en la parte sur y sureste de México; por ejemplo, Santos-Moreno y Ruiz-Velázquez (2011) reportan 11 especies en la región de Juchitán, Oaxaca. En tanto que Cimé-Pool et al. (2006) reportan siete especies en la Reserva de la Biosfera Ría Celestún, Yucatán, y Naranjo y Espinoza (2001) reportan 11 especies en la Reserva Ecológica Huitepec, Chiapas. Sin embargo, es menor a lo reportado por Espinoza et al. (2003) que enlistan 40 especies en la Reserva de la Biosfera La Encrucijada en el estado de Chiapas. Esta diferencia de la riqueza de especies, se ha observado en otras regiones de Oaxaca (Sánchez-Cordero 2001), en otras partes de México y el mundo (Arita 1993; Iñiguez 1993; Navarro y León-Paniagua 1995; Heaney 2001), sugiriendo que aquellas regiones de Oaxaca con baja elevación (i.e. nuestra área de estudio, 17 especies) presentan factores bióticos (tipo de vegetación y recursos alimenticios asociados) y abióticos (precipitación y temperatura) determinantes (Rahbek 1995; Heaney 2001).
La diversidad de murciélagos de la cuenca baja del Río Verde conformó un patrón bien establecido, donde el grupo de los estenodermatinos presentaron el mayor número de especies y abundancias. Nuestros hallazgos son similares a lo reportado en otros estudios realizados en México y Oaxaca (Medellín 1993; Chávez y Ceballos 2001; Vargas-Contreras et al. 2008). Sin embargo, coincidimos con Briones-Salas et al. (2005) en que probablemente no se haya registrado adecuadamente la riqueza de especies por el sesgo que genera el método de captura. No obstante, Pech-Canche et al. (2011) mencionan que es posible alcanzar inventarios confiables sólo con las redes de sotobosque. Por otro lado, el uso de detectores acústicos normalmente registran un mayor número de especies de murciélagos insectívoros, los cuales vuelan a grande alturas o en zonas abiertas y que típicamente están poco representadas en los inventarios (García-García y Santos-Moreno 2009); mientras que las redes de niebla a baja altura capturan exclusivamente a aquellas especies con gran envergadura alar y gran capacidad de vuelo.
Los mayores valores de diversidad de murciélagos se encontraron en las localidades de La Tuza y El Azufre. Sin embargo, la riqueza de especies entre localidades es similar en número, lo que indica que las especies están uniformemente distribuidas o presentan ensambles muy similares. Por otro lado, posiblemente las especies abundantes como A. lituratus, D. phaeotis y D. rotundus, consideradas como tolerantes al disturbio antrópico (Chávez y Ceballos 2001; Cruz-Lara et al. 2004; Ballesteros et al. 2007), no presentaron abundancias desproporcionalmente altas si se compara con especies de abundancia intermedia como A. jamaicensis y Glossophaga soricina.
El Azufre se caracteriza por presentar tierras de cultivo (maíz, papaya y mango) principalmente, aunque cercanos a estos se encuentran remanentes de vegetación conservada que pueden ser utilizados por los murciélagos como corredores biológicos (Estrada y Coates-Estrada 2001). Aunado a esto, la mayoría de los cultivos presentes en esta localidad están limitados por cercos vivos, que no sólo proporcionan una cobertura temporal para los murciélagos, sino también aportan un rico conjunto de micro-hábitats y fuente de alimento (Estrada y Coates-Estrada 2001). Sin embargo, se ha documentado que dicho recurso sólo puede ser utilizado por especies que presentan una envergadura alar considerablemente grande y de hábitos alimenticios generalistas (Estrada y Coates-Estrada 2001), como las especies del género Artibeus (48% de los registros de captura).
En el caso de Cerro Hermoso, especies como A. jamaicensis y A. lituratus por si solas representaron más del 50% del total de capturas, es decir, fueron más abundantes que el resto de las especies registradas en esta localidad. Probablemente el tipo de vegetación y su capacidad de carga disponible (micro-hábitats, alimento, refugio) propicien una mayor abundancia de estas especies.
La diversidad alfa más baja de murciélagos fue observada en El Corral, en este sitio los incendios forestales son frecuentes a causa del sistema de cultivo tumba-roza-quema y la tala de árboles clandestina. Lo anterior altera la estructura vertical de la vegetación y reduce el número de estratos presentes (Vargas-Miranda et al. 2008), propiciando la permanencia de los recursos alimenticios en los niveles más bajos de la selva. De esta manera se realiza una distribución vertical de las poblaciones de murciélagos, en donde la abundancia de los generalistas del sotobosque aumenta. Aunado a esto, la disponibilidad de refugios, alimento y la extracción de madera de forma clandestina, podría ser la razón por la que Balantiopteryx plicata sea más abundante en esta zona, con capacidad de persistir en áreas perturbadas (López-Forment y Téllez Girón 2005), en comparación con otras especies que necesitan de árboles de gran altura y diámetro y con más de una cavidad (Ortiz-Ramírez et al. 2006).
El patrón de abundancia relativa de los ensambles de murciélagos presentes en la cuenca baja del Río Verde, se caracterizó por presentar algunas especies numéricamente dominantes, principalmente filostómidos frugívoros, el resto de las especies variaron de comunes a raras en menor grado. Se ha descrito que especies del género Artibeus son más abundantes en las selvas tropicales porque están asociados a especies vegetales que fructifican la mayor parte del año como higos silvestres (Ficus spp.), ceiba (Ceiba pentandra), ramón (Brosimum alicastrum) y ciruelos (Spondias; Medellín 1993; Cruz-Lara et al. 2004). Estas especies han sido reportadas para la zona (Torres-Colín 2004), aunado a los cultivos de papaya y coco, que son abundantes en la zona de estudio (Hernández-Santos 2009) y son fuente de alimento constante de dichas especies (Sánchez-Hernández et al. 2001).
De igual manera, es importante considerar aquellas especies migratorias que se registraron en el presente estudio y que pudieron influir en el análisis de la abundancia de las especies. Por ejemplo, con respecto a Leptonycteris yerbabuenae existe evidencia de que sus poblaciones en la Costa de Jalisco se desplazan en el invierno hacia la Península de Baja California Sur y Sonora (Arita 1991); sin embargo, para la parte sur de México no se conocen sus movimientos. Por otro lado, en cuanto a L. nivalis es posible que las poblaciones del sur realicen movimientos altitudinales (Arita 1991).
Los registros de las especies dominantes, comunes o raras pueden deberse a diferentes factores ecológicos y metodológicos. Es importante diferenciar si las especies raras lo son, debido a la escasez local de recursos alimenticios, hábitat, refugios o su propia biología reproductiva; o aquellas especies que se confunden con ser raras debido al uso de técnicas inadecuadas de muestreo (Flores-Saldaña 2008).
Consideramos importante la necesidad de generar más estudios sobre estructura, dinámica de poblaciones y de ecología de comunidades para entender claramente la importancia de este grupo en esta zona, además es necesario generar estrategias de conservación para este grupo de mamíferos voladores en el Parque Nacional Lagunas de Chacahua, particularmente si el ensamble lo integran especies raras o bajo situación de amenaza. A dos revisores anónimos que contribuyeron sustancialmente a mejorar el presente trabajo.
Agradecimientos
Agradecemos a la Comisión Federal de Electricidad (CFE) y a la Universidad del Mar (UMAR) a través del Convenio de Colaboración (CUP: 2IR0807) por las facilidades otorgadas. A M. Tenorio Salgado, D. Sigüenza y B. Pineda Ramos por su colaboración en el trabajo de campo, a los habitantes de las comunidades de La Tuza, El Zarzal, El Corral y Cerro Hermoso por el apoyo brindado y ofrecernos siempre su hospitalidad. A la Secretaría de Medio Ambiente y Recursos Naturales (SEMARNAT) por la expedición del permiso SGPA/DGVS/08444/09.
Resumen
El presente trabajo aporta información sobre la diversidad y abundancia de murciélagos en la cuenca baja del Río Verde en el estado de Oaxaca, México. El muestreo se realizó de agosto de 2009 a julio de 2010 en cuatro sitios del área de estudio. Se capturó un total de 810 individuos pertenecientes a 17 especies, 13 géneros y 4 familias, con una representación importante de la familia Phyllostomidae. La aplicación de modelos asintóticos de acumulación de especies indicó que en un sitio de muestreo se alcanzó la asíntota mientras que en el resto de los sitios aún existen especies por registrar. Las curvas de intervalo-abundancia muestran a los integrantes del género Artibeus como los más abundantes y dominantes en los sitios de muestreo a excepción de El Corral. Consideramos importante la necesidad de generar más estudios sobre estructura, dinámica de poblaciones y ecología de comunidades para entender claramente la importancia de este grupo en la región.
Palabras clave: abundancia, cuenca baja, diversidad, Phyllostomidae, murciélagos.
Literatura citada
Alfaro, A. M., J. L. García-García, y A. Santos-Moreno. 2005. The false vampire bat Vampyrum spectrum in Oaxaca, Mexico. Bat Research News 46:145-146.
Amin, M. A., y R. A. Medellín. 1993. Un nuevo método para marcar murciélagos. Resúmenes, Segundo congreso Nacional de Mastozoología. Guadalajara, México.
Arita, H. T. 1991. Spatial segregation in long-nosed bats, Leptonycteris curasoae in Mexico. Journal of Mammalogy 72:706-714.
Arita, H. 1993. Riqueza de especies de la mastofauna de México. Pp. 109-128 in Avances en el estudio de los mamíferos de México (Medellín, R., y G. Ceballos, eds.). Asociación Mexicana de Mastozoología, A. C. Publicaciones Especiales. Ciudad de México, México.
Ballesteros, C. J, C. J. Racero, y D. Núñez. 2007. Diversidad de murciélagos en cuatro localidades de la zona costera del Departamento de Córdoba-Colombia. Revista MVZ Córdoba 12:1013-1019.
Barragán, F. , C. Lorenzo, A. Morón, M. A. Briones Salas, y S. López. 2010. Bat and rodent diversity on the Isthmus of Tehuantepec, Oaxaca, Mexico. Tropical Conservation Science 3:1-16.
Briones-Salas, M. A., V. Sánchez Cordero, y A. Santos-Moreno. 2005. Diversidad de murciélagos en el gradiente altitudinal de la sierra Mazateca, Oaxaca, México. Pp. 67-76 in Contribuciones Mastozoológicas en homenaje a Bernardo Villa (Sánchez Cordero, V., y R. A. Medellín, eds.). Instituto de Biología e Instituto de Ecología, Universidad Nacional Autónoma de México, Comisión Nacional para el Conocimiento y Uso de la Biodiversidad. Ciudad de México, México.
Buenrostro-Silva, A., M. A. Gutiérrez, y J. García-Grajales. 2012. Mamíferos del Parque Nacional Lagunas de Chacahua y La Tuza de Monroy, Oaxaca, México. Acta Zoológica Mexicana (n. s.) 28:56-72.
Calderón, J., y M. Briones-Salas. 1998. Los murciélagos del estado de Oaxaca, México. Memorias del IV Congreso Nacional de Mastozoología. Asociación Mexicana de Mastozoología. Universidad Veracruzana e Instituto de Ecología, A. C. Xalapa, México.
Calderón-Patrón, J. M., M. Briones Salas, y C. E. Moreno. 2013. Diversidad de murciélagos en cuatro tipos de bosque de la Sierra Norte de Oaxaca, México. Therya 4:121-137.
Chazdon, R. L., R. K. Colwell, J. S. Denslow, y M. R. Guaruguata. 1998. Statistical method for estimating species richness of woody regeneration in primary and secondary rain forest of northeastern Costa Rica. Pp. 285-309 in Forest biodiversity research, monitoring and modeling: Conceptual background and Old World case studies (Dallmeier, F., y J. A. Comiskey, eds.). The Parthenon Press. Londres, Reino Unido.
Chávez, C. J., y Ceballos G. 2001. Diversidad y Abundancia de Murciélagos en Selvas Secas de Estacionalidad Contrastante en el Oeste de México. Revista Mexicana de Mastozoología 5:27-44.
Cimé-Pool, A., B. Chablé-Santos, E. Sosa-Escalante, y S. Hernández-Betancourt. 2006. Quirópteros y pequeños roedores de la reserva de la biosfera Ría Celestún, Yucatán, México. Acta Zoológica Mexicana (n. s.) 22:127-131.
Clarke, K. R., y R. N. Gorley. 2001. PRIMER v. 5: User Manual/Tutorial. Plymouth: PRIMER-E.
Colwell, R. K. 2009. EstimateS: Statistitcal Estimation of Species Richness and Shared Species from Samples (Software), Version 8. 2. 0. Disponible en línea: http://viceroy.eeb.uconn.edu/estimates.
Colwell, R. K., y J. Coddington. 1994. Estimating terrestrial biodiversity through extrapolation. Philosophical Transactions of the Royal Society of London, Series B 345:101-118.
Comisión Nacional para el Conocimiento y Uso de la Biodiversidad (CONABIO). 2008. Regiones Terrestres Prioritarias de México Bajo Río Verde-Chacahua. Consultado el 13 de mayo de 2011. Disponible en línea: www.conabio.gob.mx/conocimiento/regulación/docts/rtp-128pdf.
Cruz-Lara, E. L., C. Lorenzo, L. Soto, E. Naranjo, y N. Ramírez-Marcial. 2004. Diversidad de mamíferos en cafetales y selva mediana de las cañadas de la Selva Lacandona, Chiapas, México. Acta Zoológica Mexicana (n. s.) 20:68-81.
Espinoza, E., E. Cruz, H. Kramsky, y E. I. Sánchez. 2003. Mastofauna de la reserva de la biosfera “La Encrucijada”, Chiapas. Revista Mexicana de Mastozoología 7:5-19.
Estrada, A., y R. Coates-Estrada. 2001. Bat species richness in live fences in corridors of residual rain forest vegetation at Los Tuxtlas, Mexico. Ecography 24:94-102.
Feinsinger, P. 2001. Designing field studies for biodiversity conservation. The Nature Conservancy and Island Press. Washington, EE.UU.
Flores-Saldaña, G. 2008. Estructura de las comunidades de murciélagos en un gradiente ambiental en la reserva de la biosfera y tierra comunitaria de origen Pilon Lajas, Bolivia. Mastozoología Neotropical 15:309-322.
Galindo-González, J. 1998. Dispersión de semillas por murciélagos: su importancia en la conservación y regeneración del Bosque Tropical. Acta Zoológica Mexicana (n. s.) 73:57-74.
García, E. 1988. Modificaciones al sistema de clasificación climática de Köppen, para adaptarlo a las condiciones de la República Mexicana. Offset Larios S. A. Ciudad de México, México.
García-García, J. L., y A. Santos-Moreno. 2009. Murciélagos de la Ventosa, Oaxaca: comparación entre el muestreo convencional y el muestreo acústico. Naturaleza y Desarrollo 7:19-29.
García-García, J. L., A. M. Alfaro, y A. Santo-Moreno. 2006. Registros notables de murciélagos en el estado de Oaxaca, México. Revista Mexicana de Mastozoología 10:88-91.
García-Grajales, J., y A. Buenrostro-Silva. 2012. Revisión al conocimiento de los murciélagos del estado de Oaxaca. Therya 3:277-293.
Heaney, L. R. 2001. Small mammal diversity along elevational gradients in the Phillipines: an assessment of patterns and hypotheses. Global Ecology and Biogeography 10:15-39.
Hernández-Santos, I. 2009. Propuesta para el manejo integral de la zona costera. Caso: Municipio de Villa de Tututepec de Melchor Ocampo, Oaxaca, México. Tesis de licenciatura, Universidad del Mar. Puerto Ángel, México.
Horvath, A. 2010. Enemigos o aliados: pautas para la investigación y conservación de murciélagos. Ecofronteras 38:22-25.
Hutcheson, K. 1970. A test for comparing biodiversities based on Shannon formula. Journal of Theorical Biology 29:151-154.
Iñiguez, I. 1993. Patrones ecológicos en la comunidad de murciélagos de la Sierra de Manantlán, Jalisco. Pp. 355-370 in Avances en el estudio de los mamíferos de México (Medellín, R., y G. Ceballos, eds.). Publicaciones Especiales, Asociación Mexicana de Mastozoología A. C. Ciudad de México, México.
Jiménez-Salmerón, Y. Q. 2008. Relación de la vegetación con los gremios frugívoros y polinívoros (Chiroptera: Phyllostomidae) en Carrizal de Bravo, Guerrero. Tesis de maestría, Colegio de Postgraduados campus Montecillo. Texcoco, México.
Jíménez-Valverde, A., y J. Hortal. 2003. Las curvas de acumulación de especies y la necesidad de evaluar la calidad de los inventarios biológicos. Revista Ibérica de Aracnología 8:151-161.
Kalko, E. K. V. 1997. Diversity in tropical bats. Pp. 13-43 in Tropical biodiversity and systematics, Proceedings of the International Symposium on Biodiversity and Systematics in Tropical Ecosystems (Ulrich, H., ed.). Zoologisches Fortchungsinstitut and Museum Alexander Koenig. Bonn, Alemania.
Lira-Torres, I., L. Mora Ambriz, M. A. Camacho Escobar, y R. E. Galindo Aguilar. 2005. Mastofauna del Cerro La Tuza, Oaxaca. Revista Mexicana de Mastozoología 9:6-20.
Lira-Torres, I., M. A. Camacho Escobar, y C. Hernández Santiago. 2008. Mamíferos de la Bahía y Micro-cuenca del Río Cacaluta, municipio de Santa María Huatulco, Oaxaca. Pp. 267-280 in Diagnóstico de los Recursos Naturales de la Bahía y Micro-cuenca de Cacaluta, Municipio de Santa María Huatulco (Domínguez Licona J. M., ed.). Universidad del Mar. Huatulco, México.
López-Forment, W., y G. Téllez Girón. 2005. Balantiopteryx plicata Peters, 1867. Pp. 163-164 in Los mamíferos silvestre de México (Ceballos, G., y G. Oliva, coord.). Fondo de Cultura Económica y Comisión Nacional para el Conocimiento y Uso de la Biodiversidad. Ciudad de México, México.
López-Gómez, M., y G. Williams-Linera. 2006. Evaluación de métodos no paramétricos para la estimación de riqueza de especies de plantas leñosas en cafetales. Boletín de la Sociedad Botánica de México 78:7-15.
López, J. A., C. Lorenzo, F. Barragán, y J. Bolaños. 2009. Mamíferos terrestres de la zona lagunar del Istmo de Tehuantepec, Oaxaca. Revista Mexicana de Mastozoología 9:6-20.
Lott, E., S. H. Bullock, y J. A. Solis-Magallanes. 1987. Floristic diversity and structure of upland and arroyo forest of coastal Jalisco. Biotropica 19:228-235.
Magurran, A. E. 2004. Measuring Biological Diversity. Blackwell Publishing, Oxford, UK.
Marini, Z. F. 1999. Apropiación comunitaria y ordenamiento ecológico, principios de soberanía y sustentabilidad. Tesis de maestría, Instituto Tecnológico Agropecuario de Oaxaca. Oaxaca, México.
Medellín, R. A. 1993. Estructura y diversidad de una comunidad de murciélagos en el trópico húmedo mexicano. Pp. 333-354 in Avances en el estudio de los mamíferos de México (Medellín, R. A., y G. Ceballos, eds.). Asociación Mexicana de Mastozoología, A. C. Ciudad de México, México.
Medellín, R. A., H. Arita, y O. Sánchez. 1997. Identificación de los murciélagos de México, clave de campo. Publicaciones Especiales, Asociación Mexicana de Mastozoología, A. C. Ciudad de México, México.
Medellín, R. A., H. Arita, y O. Sánchez. 2008. Identificación de los murciélagos de México, clave de campo. Segunda edición. Instituto de Ecología, Universidad Nacional Autónoma de México. Ciudad de México, México.
Moreno, C. 2001. Métodos para medir la biodiversidad. M&T-Manuales y Tesis SEA, Vol. 1. Zaragoza, España.
Naranjo, E. J., y E. Espinoza. 2001. Los mamíferos de la Reserva Ecológica Huitepec, Chiapas, México. Revista Mexicana de Mastozoología 5:58-67.
Navarro, P., y L. León-Paniagua. 1995. Community structure of bats along altitudinal gradient in tropical eastern México. Revista Mexicana de Mastozoología 1:9-21.
Ortiz-Ramírez, D., C. Lorenzo, E. Naranjo, y L. León-Paniagua. 2006. Selección de refugios por tres especies de murciélagos frugívoros (Chiroptera: Phyllostomidae) en la Selva Lacandona, Chiapas, México. Revista Mexicana de Biodiversidad 77:261-270.
Palmer, M. 1990. The estimation of species richness by extrapolation. Ecology 71:1195-1198.
Palmer, M., y P. S. White. 1994. Scale dependence and the species-area relationship. The American Naturalist 72:1512-1513.
Pech-Canche, J. M., E. Estrella, D. L. López-Castillo, S. F. Hernández Betancourt, y C. E. Moreno. 2011. Complementarity and efficiency of bat capture methods in a lowland tropical dry forest of Yucatán, Mexico. Revista Mexicana de Biodiversidad 82:896-903.
Peterson, T. A., L. Canseco, J. Contreras, G. Escalona Segura, O. Flores Villela, J. García López, B. Hernández Baño, C. A. Ruiz Jiménez, L. León Paniagua, A. Mendoza, A. Navarro Sigüenza, V. Sánchez Cordero, y D. Willard. 2004. A preliminary biological survey of Cerro Piedra Larga, Oaxaca, México: birds, mammals, reptiles, amphibians and plants. Anales del Instituto de Biología (serie zoología) 75:439-466.
Rahbek, C. 1995. The elevational gradient of species richness: a uniform pattern? Ecography 18:200-205.
Ramírez-Pulido, J., J. Arroyo Cabrales, y A. Castro Campillo. 2005. Estado actual y relación nomenclatural de los mamíferos terrestres de México. Acta Zoológica Mexicana (n. s.) 21:21-82.
Reid, A. F. 1997. A field guide to the mammals of central and southeast Mexico. Oxford University Press. Nueva York, EE. UU.
Sánchez-Cordero, V. 2001. Elevational gradients for bats and rodents. Global Ecology and Biogeography 10:63-76.
Sánchez-Hernández, C., M. L. Romero-Almaraz, M. H. Colín, y C. García-Estrada. 2001. Mamíferos de cuatro áreas con diferente grado de alteración en el sureste de México. Acta Zoológica Mexicana (n. s.) 84:35-48.
Santos-Moreno J. A., y E. Ruíz-Velázquez. 2011. Diversidad de mamíferos de la región de Nizanda, Juchitán, Oaxaca, México. Therya 2:155-168.
Santos-Moreno, J. A., E. Ruiz Velásquez, y A. Sánchez Martínez. 2010a. Efecto de la intensidad de la luz lunar y de la velocidad del viento en la actividad de murciélagos filostómidos de Mena Nizanda, Oaxaca, México. Revista Mexicana de Biodiversidad 81:839-845.
Santos-Moreno, J. A., J. L. García-García, y A. Rodríguez Alamilla. 2010b. Ecología y reproducción del murciélago Centurio senex (Chiroptera: Phyllostomidae) en Oaxaca, México. Revista Mexicana de Biodiversidad 81:847-852.
Statsoft, Incorporation. 1995. Statistica para Windows (Programa y manual). Tulsa, EE.UU.
Simmons, N. B. 2005. Order Chiroptera. Pp. 312-529 in Mammal Species of the World: A Taxonomic and Geographic Reference (Wilson, D. E., y D. M. Reeder, eds.). 3ed. John Hopkins. University Press. Baltimore, EE.UU.
Torres-Colín, R. 2004. Tipos de vegetación. Pp. 105-117 in Biodiversidad de Oaxaca (García Mendoza, J., M. J. Ordoñez, y M. Briones Salas, eds.) Instituto de Biología, Universidad Nacional autónoma de México, Fondo Oaxaqueño para la Conservación de la Naturaleza, Worls Wildlife Fund. Ciudad de México, México.
Vargas-Contreras, A., G. Escalona-Segura, D. Cú-Vizcarra, J. Arroyo-Cabrales, y R. A. Medellín. 2008. Estructura y diversidad de los ensambles de murciélagos en el centro y sur de Campeche, México. Pp. 551-577 in Avances en el Estudio de los Mamíferos de México (Lorenzo, C., E. Espinoza, y J. Ortega, eds.). Publicaciones Especiales, Volumen II, Asociación Mexicana de Mastozoología, A. C. Ciudad de México, México.
Vargas-Miranda, B., J. Ramírez Pulido, y G. Ceballos. 2008. Murciélagos del estado de Puebla, México. Revista Mexicana de Mastozoología 12:59-112.
Villa, R. B. 1966. Los murciélagos de México. Instituto de Biología, Universidad Autónoma de México. Ciudad de México, México.
Willing, M. R., y M. A. McGinley. 1999. The response of animal to disturbance and their roles in causing it, including patch dynamics. Pp. 667-689 in Ecosystems of the world: ecosystems of disturbed ground (Walker, L. R., ed.). Elsevier Science. Amsterdam, Holanda.
Sometido: 17 de abril de 2013
Revisado: 8 de mayo de 2013
Aceptado: 18 de junio de 2013
Editor asociado: Consuelo Lorenzo
Diseño gráfico editorial: Gerardo Hernández
Figura 1. Ubicación de los sitios de colecta de murciélagos en la cuenca baja del Río Verde, Oaxaca.
Tabla 1. Listado taxonómico y abundancia de las especies de murciélagos registradas en la cuenca baja del Río Verde, Oaxaca, de acuerdo al arreglo taxonómico de Ramírez-Pulido et al. (2005) y modificaciones sugeridas por Simmons (2005).
|
|
LOCALIDADES |
|
|||
|
Familia/Especies |
Azufre |
Corral |
Cerro Hermoso |
Tuza |
Clave |
|
ORDEN CHIROPTERA |
|||||
|
FAMILIA EMBALLONURIDAE |
|||||
|
SUBFAMILIA EMBALLONURIDAE |
|||||
|
Saccopteryx bilineata (Temminck, 1838) |
1 |
0 |
0 |
1 |
a |
|
Balantiopteryx plicata (Peters, 1867) |
0 |
72 |
24 |
0 |
b |
|
FAMILIA MORMOOPIDAE |
|||||
|
Pteronotus parnellii (Gray, 1843) |
1 |
0 |
0 |
0 |
c |
|
FAMILIA PHYLLOSTOMIDAE |
|||||
|
SUBFAMILIA MICRONYTERINAE |
|||||
|
Micronycteris microtis (Miller, 1898) |
0 |
0 |
0 |
1 |
d |
|
SUBFAMILIA DESMODONTINAE |
|||||
|
Desmodus rotundus (É. Geoffroy St.- Hilaire, 1810) |
14 |
6 |
19 |
28 |
e |
|
SUBFAMILIA GLOSSOPHAGINAE |
|||||
|
Glossophaga morenoi (Martínez y Villa, 1938) |
0 |
0 |
1 |
0 |
f |
|
Glossophaga soricina (Pallas, 1766) |
14 |
9 |
16 |
12 |
g |
|
Leptonycteris yerbabuenae (Miller, 1900) |
0 |
0 |
3 |
0 |
h |
|
Leptonycteris nivalis (de Saussure, 1860) |
0 |
0 |
0 |
1 |
i |
|
SUBFAMILIA CAROLLINAE |
|||||
|
Carollia subrufa (Hahn, 1905) |
28 |
0 |
0 |
7 |
j |
|
SUBFAMILIA STENODERMATINAE |
|||||
|
Sturnira lilium (É. Geoffroy St.- Hilaire, 1810) |
3 |
0 |
9 |
2 |
k |
|
Sturnira ludovici (Anthony, 1924) |
1 |
0 |
1 |
0 |
l |
|
Artibeus jamaicensis (Leach, 1821) |
8 |
22 |
124 |
14 |
m |
|
Artibeus lituratus (Olfers, 1818) |
39 |
15 |
17 |
7 |
n |
|
Dermanura phaeotis (Miller, 1902) |
31 |
12 |
25 |
33 |
o |
|
Centurio senex (Gray, 1842) |
0 |
2 |
0 |
0 |
p |
|
FAMILIA VESPERTILIONIDAE |
|||||
|
SUBFAMILIA MYOTIINAE |
|||||
|
Myotis fortidens (Miller y G. M. Allen, 1928) |
0 |
1 |
1 |
5 |
q |
|
Total de individuos Total de especies |
198 11 |
171 9 |
293 12 |
148 12 |
|
Tabla 2. Estimadores no paramétricos de riqueza y representatividad del muestreo para las cuatro localidades de la cuenca baja del Río Verde.
|
|
|
Especies esperadas |
|||
|
Localidad |
Especies Observadas |
ACE |
Representatividad (%) |
Chao 1 |
Representatividad (%) |
|
Azufre |
11 |
16.8 |
65.3 |
14.0 |
78.5 |
|
Corral |
9 |
9.7 |
92.7 |
9.0 |
100.0 |
|
Cerro Hermoso |
12 |
18.2 |
65.8 |
15.0 |
80.0 |
|
Tuza |
12 |
14.8 |
80.8 |
13.5 |
88.8 |
Figura 2. Curvas de acumulación de especies observadas y esperadas en la cuenca baja del Río Verde, Oaxaca. a= El Azufre, b= El Corral, c= Cerro Hermoso, d= La Tuza.
Figura 3. Curva de acumulación de especies para la cuenca baja del Río Verde de acuerdo a la función de Clench (R 2= 0.942; a = 3.567, b = 0.185).
Figura 4. Dendrograma de similitud de los murciélagos de la cuenca baja del Río Verde, Oaxaca a partir del índice de similitud de Jaccard y elaborado mediante el método UPGMA.
Figura 5. Curvas de intervalo-abundancia de los ensambles de murciélagos en los cuatro sitios de la cuenca baja del Río Verde, Oaxaca. Las especies en letras minúsculas están enlistadas en la Tabla 1.